医疗器械创新网

logo

距离创新创业大赛报名结束
48
16
37

会员登录

用户登录 评委登录
一周内自动登录 建议在公共电脑上取消此选项
一周内自动登录 建议在公共电脑上取消此选项
一周内自动登录 建议在公共电脑上取消此选项
手机验证码登录 还未账号?立即注册

会员注册

已有账号?
医疗器械创新网
医疗器械创新网

【NMPA】正电子发射/X射线计算机断层成像系统(数字化技术专用)注册审查指导原则发布

日期:2022-01-20

关于发布生物安全柜注册审查指导原则等2项技术指导原则的通告(2021年第108号)

  为加强医疗器械产品注册工作的监督和指导,进一步提高注册审查质量,根据《医疗器械注册与备案管理办法》(国家市场监督管理总局令第47号),国家药品监督管理局组织制定了生物安全柜注册审查指导原则等2项技术指导原则(见附件),现予发布。
  特此通告。
  附件:

1.生物安全柜注册审查指导原则

2.正电子发射/X射线计算机断层成像系统(数字化技术专用)注册审查指导原则
  

国家药监局

2021年12月31日

附件2

正电子发射/X射线计算机断层成像系统

(数字化技术专用)注册审查指导原则


本指导原则是对正电子发射/X射线计算机断层成像系统(Imaging system of positron emission and X-ray computed tomography,简称“PET/CT”)中所用的数字化技术的专用要求。注册申请人应依据具体产品的特性对注册申报资料的内容进行充实和细化。注册申请人还应依据具体产品的特性确定其中的内容是否适用,若不适用,需具体阐述其理由及相应的科学依据。

本指导原则是供注册申请人和技术审评人员使用的指导性文件,不包括注册审批所涉及的行政事项,不作为法规强制执行。若有满足相关法规要求的其他方法,也可采用,并应提供详细的研究资料和验证资料。本指导原则是在现行法规和标准体系以及当前认知水平下制定的,应在遵循相关法规的前提下使用。随着法规和标准的不断完善,以及科学技术的不断发展,本指导原则相关内容也将进行适时的调整。

本指导原则作为《正电子发射/X射线计算机断层成像系统注册技术审查指导原则》(简称“PET/CT指导原则”)的补充,是对PET/CT数字化技术的专用要求。申报资料除符合本指导原则的要求外,还应符合“PET/CT指导原则”的要求。

一、适用范围

本指导原则适用于PET/CT产品数字化技术相关的要求,该产品按照《医疗器械分类目录》,产品属于目录06医用成像器械,一级产品类别为17组合功能融合成像器械,二级产品类别为02正电子发射/X射线计算机断层成像系统,按第三类医疗器械管理。正电子发射断层成像系统(简称PET)单独申报或正电子发射磁共振成像系统(简称PET/MR)设备中PET数字化技术相关要求可参照本指导原则。

二、技术分类

(一)PET信号数字化技术路线

数字化是指将连续模拟量通过采样、量化、编码及必要的辅助运算方式转换为离散数字量的过程。PET数字化技术是以数字化的信号处理硬件为手段,以实现入射光子的准确测量为目的,而发展的一系列技术。

PET数字化技术主要是指信号采样的过程中,将探测到的γ光子信息转换成数字信号并输出。通常在进行符合之前,将单事件的能量信息、时间信息以及位置信息以数字编码的方式存储和处理。通常数字化的节点越靠近光电转换器件,数字化程度越高。

据采样电路中模拟信号转换为数字信号的阶段,在逻辑层上将PET信号数字化分为以下两个标志性环节:单事件信号传输环节(事件符合前),电信号产生环节(光电转换后直接数字化)。

1.单事件信号传输环节数字化

采用模拟电路对光电转换之后的电脉冲进行一定处理之后,再将单事件(位置、时间、能量等)信息转换成数字化信号并输出。如图1、图2所示。

图1  单事件信号传输环节数字化示例1

图2  单事件信号传输环节数字化示例2

2.电信号产生环节数字化

将光电转换器件输出的信号直接数字化,不再进行模拟信号处理。有以下4种技术方案: 

2.1对模拟光电器件输出的电脉冲直接数字化,获取单事件的位置、时间、能量信息。如图3所示。

图3  模拟光电器件数字化过程示例


2.2
对模拟光电器件输出的电脉冲进行数字化采样,获取单事件的原始脉冲波形。如图4所示。

图4  模拟光电器件数字化过程示例


2.3数字
光电器件直接输出数字化的单事件位置、时间、能量信息。如图5所示。

图5  数字光电器件数字化过程示例


2.4采用数字光电器件获取数字化的单事件原始脉冲波形。如图6所示。

图6  数字光电器件数字化过程示例

(二)光电转换器件

PET中的光电转换器件为把闪烁晶体输出的光信号转换成电信号的器件。目前常见的有PMT、APD和SiPM三种类型。

PMT:光电倍增管(Photomultiplier Tube,简称PMT)的基本组成部分是一个真空管,它由一个光电阴极、几个被称为倍增电极(dynodes)的电极和一个阳极组成。

APD:雪崩光电二极管(Avalanche Photodiode,简称APD)光电转换器件是由APD阵列组成的光电转换器件,其中的APD是以硅或锗为材料制成的P-N结二极管,加足够反向偏压后能够工作在雪崩区,能够形成雪崩电流。

SiPM:硅光电倍增器件(Silicon Photomultiplier,简称SiPM)是由多个工作在盖革模式的雪崩二极管通过集成工艺组成的光电探测器件。

1.模拟光电转换器件:

模拟光电转换器件为输出模拟信号(电脉冲)的光电转换器件。

1.1传统光电倍增管(PMT)通常输出模拟信号,为模拟光电转换器件。

1.2雪崩光电二极管(APD)通常输出模拟信号,为模拟光电转换器件。

1.3硅光电倍增器件(SiPM)若输出模拟信号,则属于模拟光电转换器件,即模拟SiPM。

2.数字光电转换器件:

数字光电转换器件为输出数字信号的光电转换器件。硅光电倍增器件(SiPM)若输出数字信号,则属于数字光电转换器件,即数字SiPM。该类器件将SiPM光电转换元件和数字化元件物理实体上集成在同一器件。

例如:将单个盖革模式的雪崩二极管(APD)收集到的光脉冲进行光电转换,并直接输出总体电脉冲计数以及单事件的位置、能量和时间等信息的光电转换器件,输出的信号为数字信号。如图7所示。

图7  数字光电器件示例

(三)探测器数字化程度

考虑到光电转换器件之后的电路设计、封装或者集成化程度不同,探测器模块/单元的定义也不尽相同(具体介绍见附录1)。物理层面上常见的方式如下:

1.模拟探测器(探测器单元输出模拟信号)

此类探测器多采用分立器件进行电路设计。探测器模块通常包含闪烁晶体、光电转换器件、模拟信号处理器件,物理实体上这三部分封装在一起。这种设计常见于基于PMT、APD光电转换器件的探测器模块,也有部分基于SiPM的探测器采用这种结构。探测器输出模拟信号,之后再进行模数转换,如图1所示。

2.数字探测器(探测器单元输出数字信号)

此类探测器采用较多集成电路进行设计,即大规模采用ASIC或者FPGA技术。探测器模块物理实体上可以封装闪烁晶体、光电转换器件和数字化处理单元,甚至是单事件处理环节。基于SiPM的探测器多采取这种结构,探测器模块直接输出数字信号。

常见方案如下:

方案1:由闪烁晶体、光电转换器件(SiPM/PMT)、模拟信号单元和数字化单元(如ASIC电路等)组成。在闪烁晶体背面耦合光电转换器件,电信号经模拟信号处理单元对电脉冲进行处理,然后经数字化单元进行模数转换后输出数字信号。如图2所示。

方案2:由闪烁晶体、光电转换器件(SiPM/PMT)和数字化单元(如FPGA)组成。在闪烁晶体背面耦合光电转换器件,电信号经数字化单元后直接输出数字信号。如图3、图4所示。

方案3:由闪烁晶体、数字光电转换器件组成。在闪烁晶体背面耦合数字光电器件,直接输出数字信号。如图5、图6所示。

三、技术审查要点

(一)监管信息

1.产品名称

通常产品名称应参照《医疗器械分类目录》、国家标准、行业标准中的名称,可结合临床预期用途、适用部位进行命名。需符合《医疗器械通用名称命名规则》等相关法规要求。

PET/CT采集的信号最终要输入到计算机系统进行图像重建和处理,采集信号的数字化是必须的,并不是某些申请人的特有技术;何种数字化程度可称为“全数字化”并不适合进行定义,故产品名称中不宜出现“数字化”“全数字化”等字样。

2.术语、缩写词列表

应当根据注册申报资料的实际情况,结合产品特性,对其中出现的需要明确含义的术语或缩写词进行定义。

3.产品注册单元划分

注册单元划分应根据产品的技术原理、结构组成、性能指标、适用范围划分。

PET部分,主要组成部件、设计结构差异较大的设备应划分为不同的注册单元。如晶体材料不同、光电转换器件类别不同、探测器模块数字化方式、集成度差异较大的设备,应划分为不同的注册单元。

例如:

基于不同光电转换器件(如SiPM、PMT、APD)、基于模拟探测器和数字探测器的PET/CT应划分为不同的注册单元。

(二)综述资料

1.产品描述

1.1产品工作原理

介绍申报产品PET信号数字化技术路线。

参考上述PET数字化技术分类、光电转换器件和探测器模块的分类,明确申报产品的分类情况,对产品实际情况进行详细介绍。对产品探测器模块的划分,闪烁晶体、光电转换器件、前置放大电路(模拟处理)、数字化单元(ASIC或FPGA)、事件符合等模块的设计路线在综述资料中进行详细阐述。

结合申报产品技术特点,介绍探测器的工作原理、采用的数字化方式、光电转换器的类型、探测器物理封装模块及内部所含元件、数字化单元、信号符合等模块的情况。

申报产品光电转换器件和其他同类光电转换器件的主要设计差异,数字化采样方法的原理、模拟信号转换为数字信号的方法和传输路径等内容。

如:描述将电脉冲转换成数字信号的环节,数据传输、处理路径中有无模拟电路或使用模拟处理方法,描述模数转换的技术方法;描述有无采样过程,能否还原信号波形。

在电信号产生环节,采用哪种采样法,记录电脉冲信号特征点坐标,将电脉冲信号直接转换成数字信号,再通过软件重建该脉冲以获得相应的事件(位置、时间、能量等)信息。数据传输、处理路径中无模拟电路,未使用模拟处理方法;具有对于每一个闪烁脉冲的采样,并根据数学模型可以还原原始信号脉冲波形。

1.2结构组成

1.2.1光电转换器件、探测器结构示意图、剖面图等;

介绍光电转换器件、探测器和申请人已批准的PET/CT(或其他同类产品)使用的探测器的差异。

包括但不限于以下内容:

晶体种类、主要性能、尺寸、数量、排列方式(包括示意图等);

光电转换器种类、主要性能、尺寸、数量、排列方式;

探测器模块数量、每个探测器模块的晶体数目、每个模块光电转换器件数目;

探测器结构及光子入射定位、定时及能量甄别等原理及相关算法硬件。

1.2.2冷却系统的冷却方式、工作原理、性能指标等。

SiPM探测器对温度更加敏感,重点介绍系统冷却相关要求。和PMT探测器(如适用)冷却相关要求的差异。

1.2.3校正方式(能量校正、时间校正)

根据数字化程度,列明校正的过程发生在信号采集前、采集过程中还是采集完成后进行。

1.2.4扫描模式介绍

PET根据数字化程度,可以设置符合时间窗、符合能量窗等扫描参数。

1.2.5扫描控制软件功能介绍:

依据说明书介绍扫描软件的主要功能。

PET扫描软件具有配合PET扫描模式所需的参数设置。

1.2.6图像重建软件:

列明所有标配和可选重建功能,介绍主要功能、原理、特点等。

数字PET图像重建,可以修改数据符合参数并重新生成用于重建的列表数据/正弦图数据。

按附录2要求介绍产品主要参数,作为原PET/CT指导原则的补充。

2.研发历程

阐述申请注册产品的研发背景和目的。如有参考的同类产品或前代产品,应当提供同类产品或前代产品的信息,并说明选择其作为研发参考的原因。

3.与同类和/或前代产品的参考和比较

列表比较说明申报产品与参考产品(同类产品或前代产品)在工作原理、结构组成、制造材料、性能指标(具体比较内容包括产品技术要求中的主要性能指标和附录2中的相关参数指标)、作用方式,以及适用范围等方面的异同。

重点描述本次申报产品的新功能、新应用、新特点和前代产品/同类产品的差异。

4.预期使用环境

CT部分有电离辐射,同时患者在检查过程中需注射放射性药物,需考虑预期使用环境的辐射防护要求。提交相应资料,说明采取的辐射防护措施,确认达到相关部门对辐射防护的要求。

(三)非临床研究资料

1.产品技术要求

产品技术要求中的附录“产品配置表”中需体现数字化相关技术指标,光电转化器件类型。具体见附录2(作为“PET/CT指导原则”的补充)。

2.产品性能研究

2.1提供产品数字化技术的特点和优势分析。

例如,使用SiPM光电转换器件的产品,整机系统有哪些性能提升,其测试验证资料。(如果是第一款使用SiPM光电转换器件,可以和PMT指标进行对比。)

产品采用的数字化技术,如MVT、DPC技术,其技术特点分析研究资料,性能验证测试资料。

2.2提供新技术/关键技术名称,软件或硬件的实现方式,验证确认资料。新技术的设计与实现采用了国际标准或技术规范的,应提供相应名称。若采用了国家标准、行业标准以外的标准或模体进行测试的,应介绍相关信息及详细的测试方法。

2.3明确新技术提供的性能和临床功能,以及新增的临床预期用途(如适用)。如:新型晶体材料、新型探测器、新的数据采集方式、新的临床应用(如适用)。

例如:

新功能:一次扫描,多次重建。可以基于单事件通过修改数据符合规则重新生成多组符合事件数据系列,并进行多次重建,获取不同的图像信息。

新应用:适用于同一部位需要不同信噪比与对比度组合图像的场景。

2.4其他性能研究资料:

提供时间分辨率、能量分辨率、SUV值(标准化摄取值)计算准确性、临床情况下的分辨能力验证测试报告,报告需包括测试流程、详细的测试方法和测试结果。

时间分辨率、SUV值计算准确性测试方法可参照“PET/CT指导原则”。

能量分辨率测试方法可参照附录3,替代“PET/CT指导原则”中的测试方法。

临床情况下的分辨能力测试方法可参照附录4。

3.辐射安全研究

CT部分有电离辐射,需提交辐射安全的研究资料,包括:

3.1说明符合的辐射安全通用及专用标准,对于标准中的不适用条款应详细说明理由。

3.2提供辐射安全验证资料,包括辐射能量、辐射分布、使用过程中的监控以及其他辐射关键特性能够得到合理的控制和调整的验证资料。

3.3提供减少使用者、他人和患者在运输、贮存、安装、使用中辐射吸收剂量的防护措施,避免误用的方法。提供有关验收和性能测试、验收标准及维护程序的信息。

4.软件研究

参照《医疗器械软件注册技术审查指导原则》要求提交软件资料。

参照《医疗器械网络安全注册技术审查指导原则》要求提交网络安全资料。

人工智能:产品若采用深度学习算法等人工智能技术,应参照《人工智能医疗器械注册审查指导原则》提交相应资料。

核心算法举例见附录5(作为“PET/CT指导原则”的补充)。

5.动物试验相关的要求

申请人在产品研制过程中可参照《医疗器械动物试验研究技术审查指导原则》(第一部分:决策原则)确认是否需要进行动物试验。开展动物试验时需参照《医疗器械动物试验研究技术审查指导原则》(第二部分:实验设计、实施质量保证)相关要求。

通常对于没有PET/CT产品研发经验的全新制造商,在研制第一款PET/CT产品时可以考虑动物试验进行验证。另外,研制产品和已上市同类产品相比发生重大变化时,如:设备采用全新的工作原理和结构设计,属于全新设备,国内市场上没有与之类似的上市设备;设备采用了新的关键器件,该器件具有全新的技术特性,其对设备的应用和操作产生了较大的影响,所获得的影像质量也有很大区别;在原有的基础上开发了新的临床医疗器械创新网等情况,可以考虑动物试验进行验证。

动物试验可作为模体实验的补充,例如多床拼接性能的验证、新算法图像质量的验证、延时成像、动态成像等功能的验证资料。提供产品注册申报资料时,可作为研究资料的支持性文件。

5.1总体要求

PET/CT产品的动物试验可以从可行性、有效性、安全性三方面进行验证。(1)可行性:通常可行性研究是对产品设计合理性、可操作性、可用性等方面进行的整体确认,动物试验可用于PET/CT产品系统整体可行性验证。(2)有效性:设计合理的动物试验可支持产品的有效性(包括性能和功能),如验证PET/CT产品的图像质量、临床工作流程等。(3)安全性:通过动物试验可以识别非预期的风险,识别产品设计是否有缺陷,试验过程中是否有新的引入风险,必要时对产品进行完善和改进,采取进一步的风险控制措施。实验目的有时无法严格划分界限,一项动物试验可能同时对三个方面进行评价。

5.2差异分析

动物与人体之间,在PET/CT产品验证时存在差异,采用动物试验评估PET/CT的性能和功能时,可先对动物模型、评价指标等与人体的差异性、相似性等进行分析,可利用已有文献信息、前代产品的研究资料等。

5.3实验动物的选择

在选择动物时,应考虑与人体的相似性和评价指标的合理性,根据不同的实验目的选择适宜的实验动物。

例如,在PET/CT系统整机的验证上,考虑到更充分地模拟人体扫描场景,考虑多床位扫描,建议动物类型上优先考虑体型较大的动物,如选用猪进行系统验证。而在验证系统的图像质量时,动物体型越小,对设备分辨率、灵敏度等要求更高,越小的动物越能显示系统图像质量的优越性。

5.4实验动物的数量

对于PET/CT产品验证的动物试验,考虑到动物试验作为模体实验的补充,或人体临床试验之前产品可行性验证、安全有效验证的补充,对实验动物的数量一般不做要求。

5.5试验过程的记录

试验过程中应完整记录整个试验过程中所有原始信息资料,包括完整的过程记录、照片/影像资料等。并按照评价要求对各项指标的评价结果进行汇总分析,形成评价结论。考虑动物的解剖结构、生理特征和人体有差异,需要由有相关动物试验经验的人员对图像进行解读。

6.稳定性和可靠性研究

6.1使用稳定性

参照《有源医疗器械使用期限注册技术审查指导原则》提供整机系统的使用期限分析验证资料。对于某些部件,应单独确定其使用期限。该期限可以与整机相同,也可不同。这些部件包括但不限于:需定期更换的部件、光学/辐射敏感部件、机械磨损部件等(如PET探测器、SiPM探测器、机架、患者支撑装置、X射线管组件、X射线探测器、高压发生器、限束器、其他电气部件等)。

提供使用稳定性/可靠性研究资料,证明在生产企业规定的使用期限/使用次数内,在正常使用、维护和校准(如适用)情况下,产品的性能功能满足使用要求。

6.2运输稳定性

提供运输稳定性和包装研究资料,证明在生产企业规定的运输条件下,运输过程中的环境条件(例如:震动、振动、温度和湿度的波动)不会对医疗器械的特性和性能,包括完整性和清洁度,造成不利影响。

四、参考文献

[1]《关于发布医疗器械临床评价技术指导原则的通告》(国家食品药品监督管理总局通告2015年第14号)

[2]《关于发布医疗器械网络安全注册技术审查指导原则的通告》(国家食品药品监督管理总局通告2017年第13号)

[3]医疗器械动物试验研究技术审查指导原则》(第一部分:决策原则)

[4]医疗器械动物试验研究技术审查指导原则(第二部分:实验设计、实施质量保证)

[5]NEMA NU2-2018 Performance Measurements of Positron Emission Tomographs

[6]YY/T 0829-2011 正电子发射及X射线计算机断层成像系统性能和试验方法

[7]GB/T 18988.1-2013 放射性核素成像设备 性能和试验规则 第1部分正电子发射断层成像装置

[8]YY/T 0310-2015 X射线计算机体层摄影设备通用技术条件

五、术语

相关标准、原指南中术语和定义适用于本文件。

1.单事件:单个γ射线被探测器探测后得到的能量、位置和时间信息的组合。

2.光电倍增管(Photo Multiplier Tube,简称PMT):将光子转换为电子并进行倍增放大的真空管光电转换器件。

3.雪崩光电二极管(Avalanche Photodiode,简称APD):将光子转换为电子并以雪崩模式进行放大的半导体光电转换器件。

4.硅光电倍增器件(Silicon Photomultiplier,简称SiPM):由工作在盖革模式的雪崩二极管阵列组成的光电探测器件。

5.光电转换器:把γ射线产生的闪烁光转换成电信号的器件。

6.模拟信号处理单元:对光电转换器件输出的电信号进行放大、整形、定时甄别等处理的模拟电路的组合。

7.探测器模块:闪烁晶体、光电转换器件及相应信号处理单元封装在一起组成的物理实体模块。通常是可更换的最小探测单元模块。

8.模拟探测器模块:把闪烁晶体、光电转换器和后续电路封装成一体的最小单元,其输出为模拟信号。

注:对于集成度较低的PMT探测器和部分SiPM探测器,探测器模块由闪烁晶体、光电转换器件和模拟处理电路组成,输出为模拟信号。

9.数字探测器模块:把闪烁晶体、光电转换器和后续电路封装成一体的最小单元,其输出为数字信号。

注:对于集成度较高的SiPM探测器,探测器模块通常由闪烁晶体、光电转换器件、数字化单元(ASIC电路或FPGA)组成,输出为数字信号。

10.晶体环数:PET探测系统沿FOV轴向排列的晶体的数量。

六、编写单位

国家药品监督管理局医疗器械技术审评中心


附录:1.规格参数表

2.能量分辨率测试方法

3.SUV值准确性测试方法

4.核心算法描述举例

附录1

PET数字化技术

一、PET数字化技术发展过程

最初的PET系统中,通过光电倍增管(PMT)、前端模拟电路和后续的模数转换器(ADC/TDC)将能量、位置和时间信息转换为数字信号,进行事件符合和图像重建。由于早期的芯片技术比较落后,模数转换单元无法集成在探测器模块,而是独立于探测器模块之外,甚至有些设计需要用比较长的线将信号传输到模数转换器。较多的模拟处理和较长的传输路径导致信号差,并且系统可扩展性差,性能受限。

上世纪90年代出现了SiPM光电转换器件,此类器件通过集成工艺将APD密排组成阵列,属于芯片化的器件,传输路径短、集成度高。随着电子技术的发展,SiPM 后端的模数转换和信号处理电路也逐渐芯片化,通过专用集成芯片ASIC或FPGA来实现。PET探测器的集成度进一步提高,基于ASIC或FPGA设计的模数转换器逐渐前移,模拟信号处理进一步减少,数字信号处理增加。模数转换单元尽量靠近光电转换器件会使性能进一步提升。

ASIC具备低功耗、小体积以及高性能特点,可以进一步简化PET探测器结构,更易于扩展。SiPM和ASIC二者结合可以实现复杂信号的读出及处理,充分发挥数字信号传导快,不易衰减的特性,整机性能提升潜力大。相比传统采用模拟处理部件较多的数字化方案,信号传输路径变短,整机性能逐步提高。

二、不同光电转换器件的差异

由于PMT需要高压供电(1000V左右),并且倍增过程(10cm左右)中信号容易受到干扰变差,在硅光电倍增管出现以后,逐渐引起PET领域的重视,开始使用SiPM代替PMT作为PET探测器的光电转换器件。SiPM只需要低于供电(30V左右),信号传输路径短(<1mm),并且为易于大规模生产的芯片器件。采用SiPM器件信号质量更好,易于模块化,可扩展性好,能够提高PET关键性能。

APD光电转换器件中的APD工作在雪崩模式,大小为3mm左右,而SiPM中工作在盖革模式的微小的APD单元通常只有35um左右。SiPM的集成度大大提高,通常SiPM阵列会集成数千个甚至数万个二极管,而APD阵列通常只能集成数个二极管。APD光电转换器因其磁共振兼容性优势,被用于早期的PET/MR设备。但随着集成工艺的发展,正在被SiPM光电转换器件替代。

三、探测器的集成度

模拟探测器多采用分立器件进行电路设计,或者其数字电路部分采用小规模的ASIC或者FPGA设计。受制于光电转换器件的尺寸限制、微电子技术水平,或者成本等考量,模拟探测器模块包含了闪烁晶体、光电转换器件、模拟信号处理器件,物理实体上这三部分封装在一起。这种设计常见于基于PMT、APD光电转换器件的探测器模块,也有部分基于SiPM的探测器采用这种结构。探测器输出模拟信号,之后再进行模数转换。

数字探测器采用较多集成电路进行设计,即大规模采用ASIC或者FPGA技术。随着SiPM器件的出现和微电子技术的发展,以SiPM为代表的PET探测器模块,越来越多的采用大规模集成电路。SiPM尺寸相比PMT大大减小,模数转换等数据处理单元也采用集成芯片设计(基于ASIC或FPGA设计)。探测器模块物理实体上可以封装闪烁晶体、光电转换器件和数字化处理单元,甚至是单事件处理环节。基于SiPM的探测器多采取这种结构,探测器模块直接输出数字信号。

四、系统整体性能的影响

数字化路线的选择是影响PET系统的性能的重要因素之一,同时晶体材料类型、晶体大小、探测器结构和排布、数字化方案的细节优化、图像重建和校正算法等也是影响PET性能的重要因素,通常无法单独通过一个因素来提高系统的整体性能,只有把整个影像链上的各种因素协同优化,才能最大程度上优化系统性能,达到最佳图像质量。

五、PET数字化相关名词解释

由于不同产品数字化技术路线差异较大,导致出现不同的名词术语。为便于对不同制造商和技术的理解,对以下常见名词进行解释。

1.多像素光子计数器件MPPC(Multi Pixel Photon Counter),从原理角度对SiPM的命名, SiPM为通用叫法。

2.微单元(Micro Cell):单个SiPM单元,可对应多个APD阳极。

3.单元(Unit):探测器加工或者设计中,由闪烁晶体、光电转换器件(PMT或者SiPM微单元)和后续电路组成的最小单元。

4.SiPM晶体阵列覆盖率:晶体阵列中所有晶体横断面的灵敏区域面积和晶体阵列出光面实际面积的比值。

5.模块(Module):可进行独立组装或者更换的最小探测器模块。

6.探测器环数:PET探测系统沿FOV轴向排列探测器单元的数量(建议申请人在注册资料中规定晶体环数)。

7.Block环数:PET探测系统沿FOV轴向排列Block探测器单元的数量(建议申请人在注册资料中规定晶体环数)。

8.ASIC专用集成电路:PET数字化过程中常用于处理多路信号,提取数字化的信号幅度和时间信息。

9.FPGA逻辑门阵列:PET数字化过程中的多用于对信号进行模数转换或事件符合处理。

10.原始脉冲波形:γ射线在闪烁探测器中的光脉冲波形。

11.多电压阈值采样法(Multi Voltage Threshold sampling,简称MVT):通过预设多个电压阈值并记录脉冲经过每个阈值的时间,基于数学模型恢复脉冲原有波形的方法。

12.数字光子计数器(Digital Photon Counter,简称DPC):能够采用数字化的方法记录到达光子数的光电转换器件。

13.不间断连续采样ADC(Free-sample ADC):用高频时钟驱动,不间断连续对信号的通路进行电压幅度采样,真实记录信号脉冲的形状、电平基线起伏、脉冲拖尾和信号堆积的模数转换器件。

附录2


规格参数表

表1规格参数表

序号

部件名称

型号

规格参数

备注

1

PET探测器


光电转换器件类型

晶体环数

每个模块的SiPM数量

每环模块数量

SiPM总数量

SiPM晶体阵列覆盖率



注1:应参照上述表格,根据申报产品实际情况列明产品规格参数、配置情况。表格中未尽事宜,可以增加。有不适用或不符合的特殊情况,另附文件说明。

注2:若申报产品的采集、重建、后处理功能集成在同一软件平台,则版本号可使用系统软件发布版本号。


附录3

能量分辨率测试方法

一、概述

PET系统的能量分辨率是PET性能的重要指标,它决定了PET能窗大小和排除散射事件的能力。能量分辨的本质是射线探测过程中的一系列涨落:能量沉积与退激的光子发射、光子收集、光电转化、电子倍增、电路噪声等引起的信号幅度起伏。

PET系统的能量分辨率取决于探头中所有小晶体探测单元的能量分辨率。本方法采用对每个小晶体探测单元的能量分辨率进行独立测量,再取所有小晶体探测单元能量分辨率的平均值,作为PET系统的能量分辨率。

PET的能量分辨率用511 keV的能谱峰的半高宽(FWHM)与511 keV能谱峰值的百分比来表示。

二、目的

评价PET系统的能量分辨本领。

三、方法

(一)符号

FWHMk--- 小晶体探测单元的能谱峰的半高宽;

ek--- 小晶体探测单元的能谱峰的能量值;

E --- 能量分辨率:E = FWHM/e×100%

Ek--- 小晶体探测单元的能量分辨率,k=1,2,3, ... n,小晶体总数;

Esys--- PET系统的能量分辨率。

(二)放射源

18F线源:使用GB/T18988.1-2013 中NC.5测试灵敏度的线源,注入约37 MBq。将线源放入最细的铝管内,用支架放置在PET的 FOV中心。

(三)数据采集

使用制造商单计数(Singles)模式采集程序采集数据。应采集足够长的时间,以保证每个小晶体的能量峰值不少于200个单计数。

(四)数据分析

使用制造商专用软件分析:

1.解析每个小晶体探测单元的能谱并计算其能量分辨率:

2.计算所有小晶体探测单元的能量分辨率均值:

制造商专用软件可使用如下算法之一:

1)高斯拟合能谱得到半高宽和峰值;

2)加权多点滑动平滑对能谱进行处理,再用重心法求能谱峰位及插值法得到半高宽。

四、结果报告

线源灌注:数据采集起始时刻的线源放射性浓度以及总活度。

采集参数:采集时间、终止条件。

能谱数据处理:函数拟合或其他平滑、插值。

能量分辨率:Esys

附录4

临床情况下的分辨能力测试方法


一、概述

由于实际成像时,高摄取病灶组织往往浸润在具有背景辐射的环境中,所以本测试用来评价PET系统对于实际病灶的分辨能力。宜用病灶的对比度恢复系数来描述实际病灶的分辨能力。

二、方法

采用人体躯干水模来模拟实际PET成像场景,通过测量模体中热区的对比度恢复系数来作为PET系统对实际病灶的分辨能力。

(二)放射性核素

测量应使用放射性核素18F

(三)模体

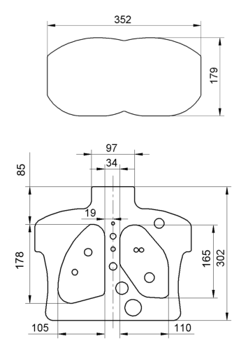
将放射源注入模拟人体躯干结构的水模,该水模长宽高分别为40 cm,34 cm,18 cm,其中背景部分具有两种密度,模拟肺部的区域密度为0.5 g/cm3,其他区域填充水用以模拟人体其他组织。在水模中,具有不同尺寸的小球用以模拟不同大小的病灶,详细尺寸见表2、表3和图8、图9。其中编号为1-7的小球位于模拟人体其他组织的背景中,编号为8-12的小球位于模拟肺部组织的背景中。

表2 人体躯干水模热源列表

图8水模结构示意图


图9 水模内小球位置示意图


表3 水模内小球位置坐标


(四)放射源

PET成像开始时模体中本底放射性浓度应校准为5.3 kBq/mL(0.14μCi/mL),误差在±5%以内。如果制造商推荐使用较低的注射剂量,则研究中本底活度也可相应的降低。应报告使用的本底放射性活度浓度和制造商推荐的注射剂量。热区中应填充放射性活度与本底之比为4:1的放射性物质。水模的背景区域的体积约9500ml,所有小球的总体积约60ml,在扫描开始前,可以分别准备两份体积为10L和1L的水,分别注入2.5mCi和1mCi的F18药物并记录注射和残余的时间,充分混合均匀后可以控制其活度浓度比例为4:1,将模体向上躺平放置,使用30ml的注射器从1L的混合溶液中抽取约25ml放射性溶液,向水模注射口左边的注入口注入药物,缓慢注入(约每5秒2ml)确保无气泡,注入完成后封紧注入口,另用60ml注射器从1L的混合溶液中抽取约45ml放射性溶液,向水模注射口右边的注入口注入药物,缓慢注入确保无气泡,注入完成后封紧注入口。

封紧小球注入口后,将水模竖立放置在底座上,从背景注入口注入9500ml背景活度浓度的溶液。如果没有足够大的容器准备10L清水,则可以先注入9500ml清水,再从模体抽出10ml清水后注入2.4mCi溶液,拧紧后摇晃混合均匀。

图10、图11所示。

(五)数据采集

水模准备完成后,静置约10-20分钟以确保药物混合均匀后,将水模置于检查床上,按照临床典型协议进行数据采集。先进行CT扫描,背景活度浓度衰变到5.3kBq/ml(±5%)时,开始PET数据采集,PET采集时,尽量将水模中心与PET中心重合确保扫描覆盖整个模体,或者按制造商推荐的位置摆放模体。

(六)数据处理

对采集的数据采用制造商推荐的方法进行重建。如果图像由多个床位采集的数据组成,则需将图像拼接后再进行数据分析。

三、分析

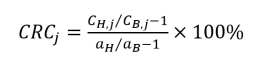
在图像冠状面划取ROI。对于每个热区j寻找其在冠状面上面积最大层,在该层划取热区j的ROI。在模体背景均匀区域划取与热区大小相同的背景ROI,每个热区的背景ROI中心层与该热区ROI取在同一层。接近中间层两侧±1 cm与±2 cm处的其他层上也应该画出背景ROI。对于每个热区,每层需画取12个背景ROI,总共60个背景ROI。。

按照如下公式计算每个小球的百分对比度CRCj为:

其中aHaB分别是小球和本底均匀区的活度浓度值。

四、报告

模型灌注:数据采集起始时刻的背景区和热区中的放射性浓度以及模型中的总活度;

采集参数:PET轴向视野、模型轴向长度、单床位采集时间;

重建参数:图像矩阵小大、像素大小、层厚、重建算法、滤波、或者其他的平滑;

应根据表4 计算每一个热区的对比度恢复系数。

所观测的各个热区位置应逐个报告。

4 热区的对比度恢复系数

附录5


核心算法描述举例

表5核心算法描述

注:针对全新算法除列明算法的名称、类型、用途和临床功能外,还应提供安全性与有效性的验证资料。

医疗器械创新网网: 返回列表
医疗器械创新网网 医疗器械创新网网 医疗器械创新网网 医疗器械创新网网 医疗器械创新网网